By using this website, you agree to the use of cookies as described in our Privacy Policy.
I accept
หน้าแรก
ประวัติองค์กร
โครงสร้างองค์กร
ทำเนียบประธานฯ
ติดต่อเรา
ข่าวสาร
รายชื่อผู้มีสิทธิ์เลือกตั้ง 2569
ข่าวปักหมุด
ข่าว/ประกาศ 2568
ข่าว/ประกาศย้อนหลัง
บริการ
คู่มือการใช้แอพ
ตรวจสอบรายการเรียกเก็บรายเดือน
ตรวจสอบใบเสร็จรับเงิน
ตรวจสอบผู้รับโอนผลประโยชน์
ตรวจสอบการค้ำประกัน
โอนเงินฝากภายในบัญชีตนเอง
โอนเงินฝากจากกรุงไทยเข้าออมทรัพย์
ถอนเงินฝากจากออมทรัพย์เข้ากรุงไทย
ดาวน์โหลดแบบฟอร์ม
การสมัครสมาชิก
ระเบียบ/ข้อบังคับ
บริการเงินฝาก
บริการเงินกู้
ร้องเรียน/เสนอแนะ
บุคลากร
กรรมการสหกรณ์ฯ
ที่ปรึกษา/ผู้สอบบัญชี/ผู้ตรวจสอบกิจการ
เจ้าหน้าที่สหกรณ์ฯ
แนะนำเจ้าหน้าที่
กิจกรรม
อบรม/ศึกษาดูงาน
สวัสดิการสมาชิก
จ่ายเงินสงเคราะห์/สินไหม
รับโล่/เกียรติบัตร
ร่วมงานศพครอบครัวสมาชิก
PDPA
ลิงก์
สสจ.น่าน
สสธท.
สส.ชสอ.
@min
เข้าสู่ระบบ
เขียนข่าวใหม่
อัพโหลดไฟล์
รับเรื่องร้องเรียน
Nan, Thailand
088 - 553 0032
ssjnan.coop@gmail.com
เวลาทำการ 8.30 - 16.30 (จันทร์ - ศุกร์)
หน้าแรก
ประวัติองค์กร
โครงสร้างองค์กร
ทำเนียบประธานฯ
ติดต่อเรา
ข่าวสาร
รายชื่อผู้มีสิทธิ์เลือกตั้ง 2569
ข่าวปักหมุด
ข่าว/ประกาศ 2568
ข่าว/ประกาศย้อนหลัง
บริการ
คู่มือการใช้แอพ
ตรวจสอบรายการเรียกเก็บรายเดือน
ตรวจสอบใบเสร็จรับเงิน
ตรวจสอบผู้รับโอนผลประโยชน์
ตรวจสอบการค้ำประกัน
โอนเงินฝากภายในบัญชีตนเอง
โอนเงินฝากจากกรุงไทยเข้าออมทรัพย์
ถอนเงินฝากจากออมทรัพย์เข้ากรุงไทย
ดาวน์โหลดแบบฟอร์ม
การสมัครสมาชิก
ระเบียบ/ข้อบังคับ
บริการเงินฝาก
บริการเงินกู้
ร้องเรียน/เสนอแนะ
บุคลากร
กรรมการสหกรณ์ฯ
ที่ปรึกษา/ผู้สอบบัญชี/ผู้ตรวจสอบกิจการ
เจ้าหน้าที่สหกรณ์ฯ
แนะนำเจ้าหน้าที่
กิจกรรม
อบรม/ศึกษาดูงาน
สวัสดิการสมาชิก
จ่ายเงินสงเคราะห์/สินไหม
รับโล่/เกียรติบัตร
ร่วมงานศพครอบครัวสมาชิก
PDPA
ลิงก์
สสจ.น่าน
สสธท.
สส.ชสอ.
@min
เข้าสู่ระบบ
เขียนข่าวใหม่
อัพโหลดไฟล์
รับเรื่องร้องเรียน
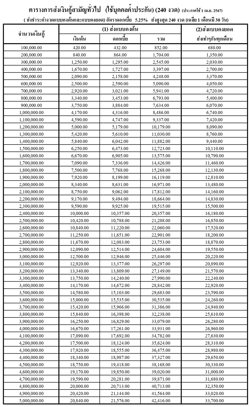
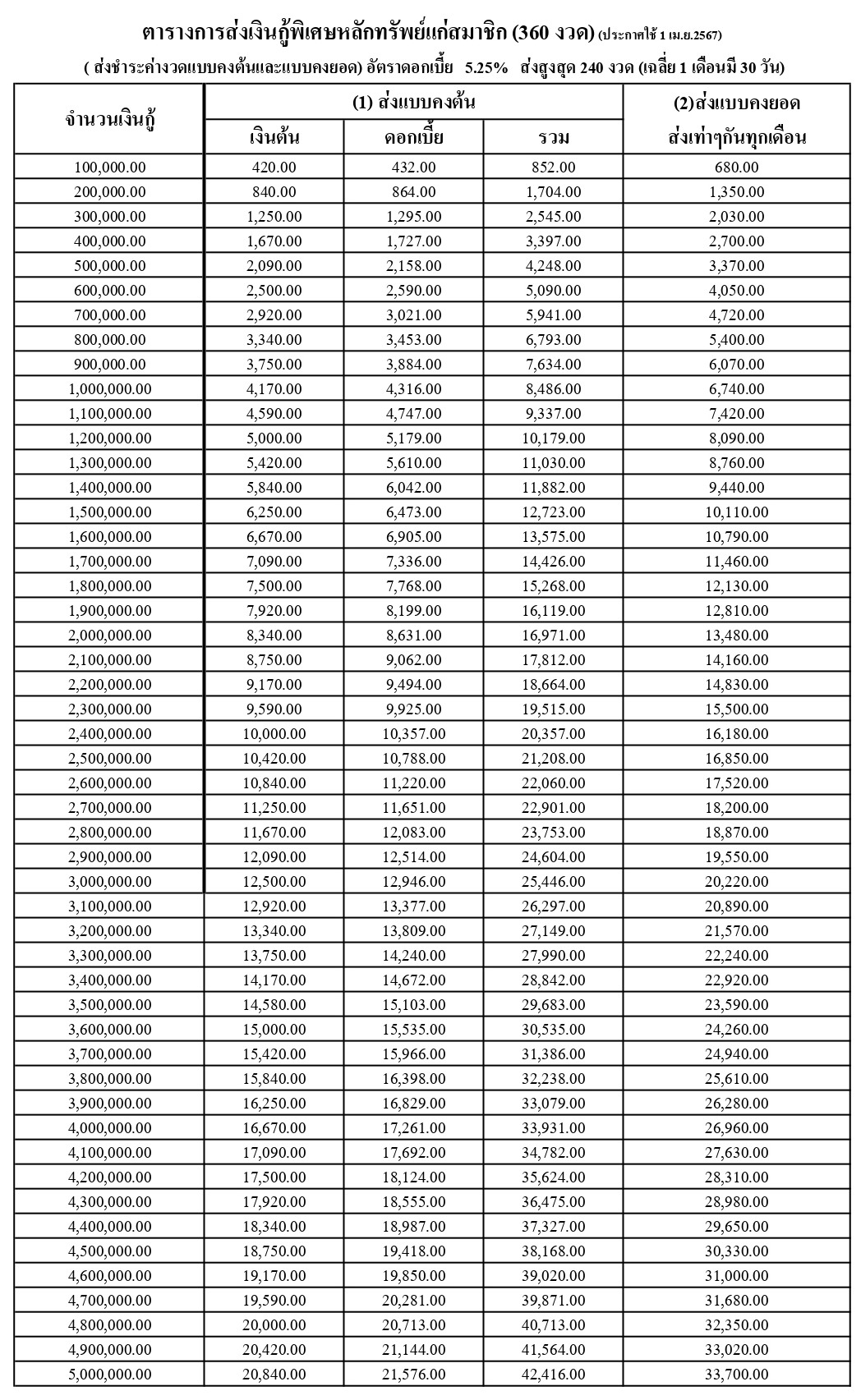
ตารางการส่งค่างวดเงินกู้
ดาวน์โหลดเอกสารเป็นไฟล์ PDF
ตารางค่างวดเงินกู้สามัญพิเศษโครงการ 3
ตารางค่างวดเงินกู้สวัสดิการเพื่อสมาชิก
ตารางค่างวดเงินกู้ฉุกเฉิน
ตารางค่างวดเงินกู้พัฒนาคุณภาพชีวิต
ตารางค่างวดเงินกู้พิเศษหลักทรัพย์
ตารางค่างวดเงินกู้ช่วยเหลือผู้ประสบภัยพิบัติ
ตารางค่างวดเงินกู้สามัญทั่วไป
ตารางค่างวดเงินกู้สามัญพิเศษโครงการ 2
เข้าดูแล้ว: 614 ครั้ง